• Предмет: Алгебра
  • Автор: pro100Nika2013
  • Вопрос задан 10 лет назад

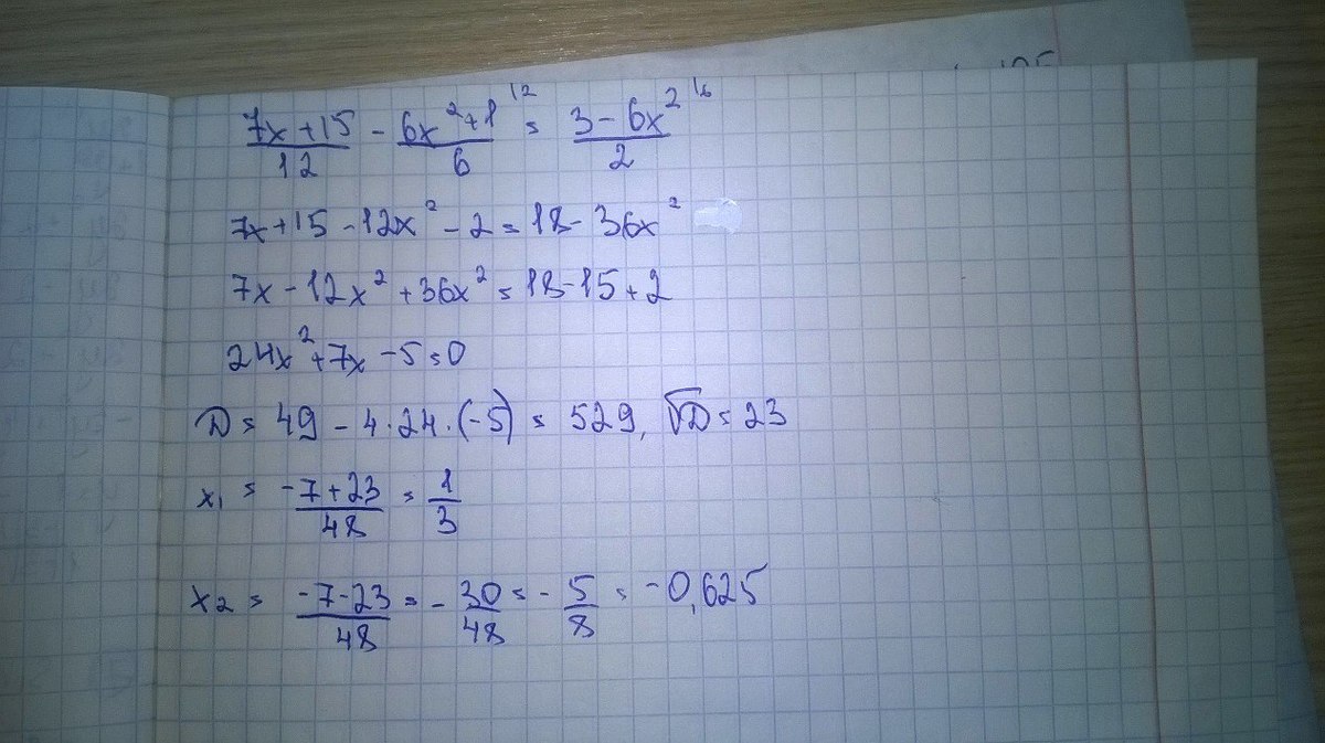
Решите уравнение ((7*x+15)/12)-((6*(x^2)+1)/6)=(3-6(x^2))/2

Ответы

Ответ дал: AD0LF
0
вот тебе решение уравнения
Приложения:
Вас заинтересует
11 лет назад