• Предмет: Алгебра
  • Автор: gorynich
  • Вопрос задан 10 лет назад

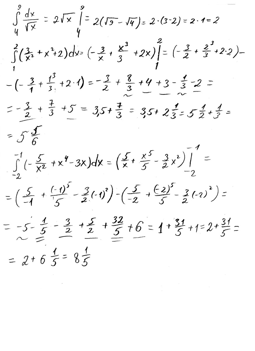
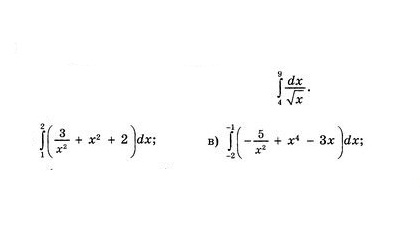
Вычислите определенный интеграл

Приложения:

Ответы

Ответ дал: Матов
0
  intlimits^9_4 {      frac{1}{sqrt{x}} , dx = |^9_4  2sqrt{x} = 2*3-2*2=2
      
  
    intlimits^2_1 {    (frac{3}{x^2}+x^2+2}   )dx =     |^2_1   frac{-3}{x}+frac{x^3}{3}+2x  = frac{-3}{2}+frac{8}{3}+4 -  (frac{-3} {1}+frac{1}{3}+2) \
                   frac{31}{6}+frac{2}{3} = frac{35}{6}
 
 
  intlimits^ {-1}_ {-2} {(frac{-5}{x^2}+x^4-3x} ) dx = frac{x^5}{5} - frac{3x^2}{2} + frac{5}{x} = \
  frac{-1}{5}-frac{3}{2}-frac{5}{1} - ( frac{-32}{5} - frac{3*4}{2} - frac{5}{2}) = frac{41}{5}

Ответ дал: gorynich
0
Спасибо
Ответ дал: bearcab
0
Решение во вложении. Должно быть понятно.
Приложения:
Ответ дал: gorynich
0
Спасибо
Ответ дал: gorynich
0
картинка не открывается
Ответ дал: bearcab
0
Сейчас перезагружу
Ответ дал: bearcab
0
Обновите страницу))
Ответ дал: gorynich
0
спасибо
Вас заинтересует