• Предмет: Математика
  • Автор: Шустрый111
  • Вопрос задан 10 лет назад

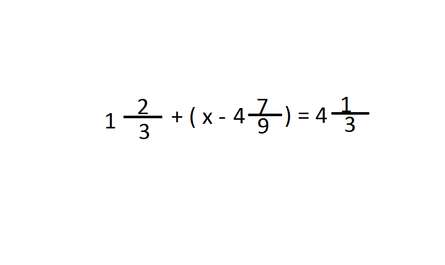
Помогите решить уравнение

Приложения:

Ответы

Ответ дал: jekadva
0
1 frac{2}{3} +x-4 frac{7}{9} =4 frac{1}{3}  \ x=4 frac{1}{3} -1 frac{2}{3} +4 frac{7}{9}  \ x=7 frac{4}{9}
Ответ дал: sashagthmzrjd
0
Неправильно
Ответ дал: sashagthmzrjd
0
будет 6 целых 4 девятых
Ответ дал: sashagthmzrjd
0
считать научись
Вас заинтересует