Ответы
Ответ дал:
0
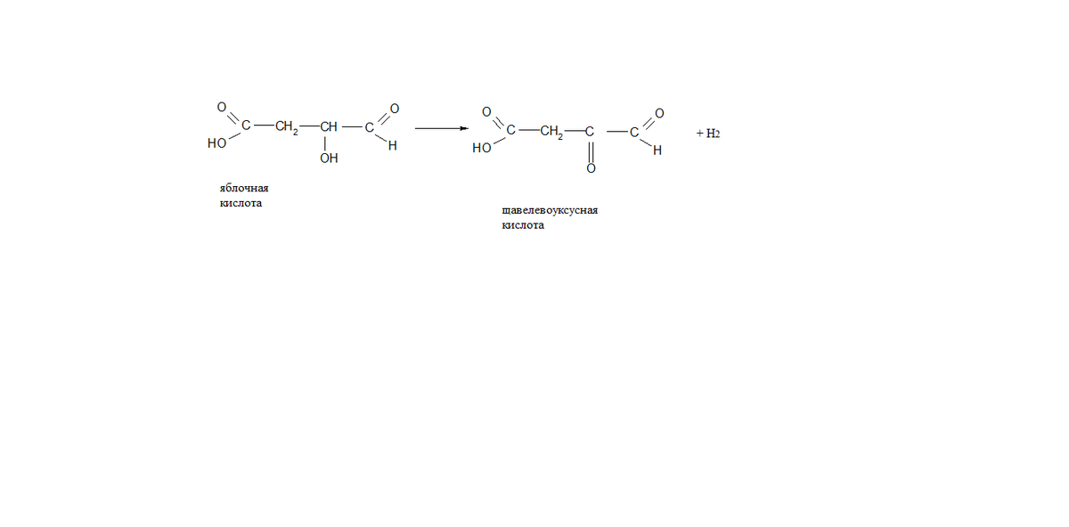
реакция дегидрирования, катализатор - малатдегидрогеназа
уравнение реакции см. в прикрепленном ниже файле
уравнение реакции см. в прикрепленном ниже файле
Приложения:

Вас заинтересует
2 года назад
2 года назад
7 лет назад
7 лет назад
10 лет назад
10 лет назад
10 лет назад