ПОМОГИТЕ!!! ПОЖАЛУЙСТА!!! МУЧАЮСЬ КОТОРЫЙ ДЕНЬ!!! Упростите дробь и найдите значение выражения:
Приложения:
Ответы
Ответ дал:
0
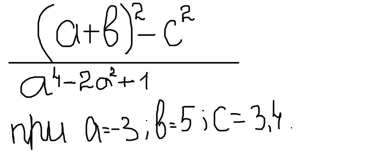
... = (a+b-c)*(a+b+c) / (a^2 - 1)^2 =
(a+b-c)(a+b+c) / ((a-1)^2*(a+1)^2)
выражение не упростится --- просто вычислять будет проще)))
... = (-3+5-3.4)(-3+5+3.4) / ((-3-1)^2*(-3+1)^2) = -1.4*5.4 / (16*4) = -0.7*2.7 / 16 =
= -1.89 / 16 = -189 / 1600 = -0.12 (примерно)))
(a+b-c)(a+b+c) / ((a-1)^2*(a+1)^2)
выражение не упростится --- просто вычислять будет проще)))
... = (-3+5-3.4)(-3+5+3.4) / ((-3-1)^2*(-3+1)^2) = -1.4*5.4 / (16*4) = -0.7*2.7 / 16 =
= -1.89 / 16 = -189 / 1600 = -0.12 (примерно)))
Вас заинтересует
3 года назад
3 года назад
8 лет назад
8 лет назад
10 лет назад
11 лет назад
11 лет назад