• Предмет: Алгебра
  • Автор: fifa3000
  • Вопрос задан 10 лет назад

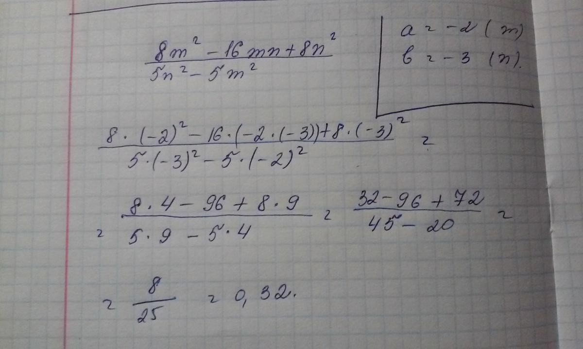
упростите выражение 8m^2 - 16mn + 8n^2 5n^2 - 5m^2 при а =-2 при в =-3

Ответы

Ответ дал: Sofi05
0
Вроде бы так)
Если по другому как-то,то скинешь мне,я посмотрю что и как)
Приложения:
Ответ дал: Sofi05
0
Вы так решали в классе?
Ответ дал: fifa3000
0
http://znanija.com/task/10662600
Вас заинтересует