x^1/log(25)x = 25
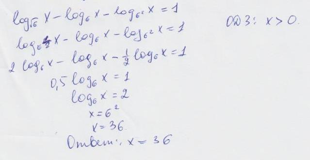
log(корень 6)x - log(6)x - log(36)x=1
log(7)3*log(x)7*log(3)10=1
log(7)x*log(2)x=log(7)2
Если можно, подробно с объяснением
Ответы
Ответ дал:
0
решение всех в приложении:
P.s. если нужны объяснения подробнее - пишите
P.s. если нужны объяснения подробнее - пишите
Приложения:



Вас заинтересует
2 года назад
7 лет назад
7 лет назад
10 лет назад
10 лет назад