• Предмет: Алгебра
  • Автор: МайклВегвиц
  • Вопрос задан 10 лет назад

Срочно!!!!!!! ДАЮ 50 ПУНКТОВ!!!

Приложения:

Ответы

Ответ дал: Denik777
0
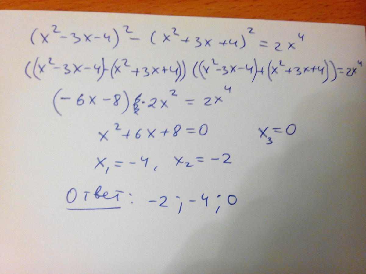
Решение в картинке прицеплено
Приложения:
Ответ дал: Denik777
0
упс, забыл сразу про то, что на 2x^2 сократили, поэтому есть еще один корень 0. Уже исправил.
Ответ дал: МайклВегвиц
0
спасибо вам большое
Вас заинтересует