• Предмет: Алгебра
  • Автор: Linam1
  • Вопрос задан 10 лет назад

Помогите пожалуйста ! Срочно! Сём сможете

Приложения:

Ответы

Ответ дал: Аноним
0
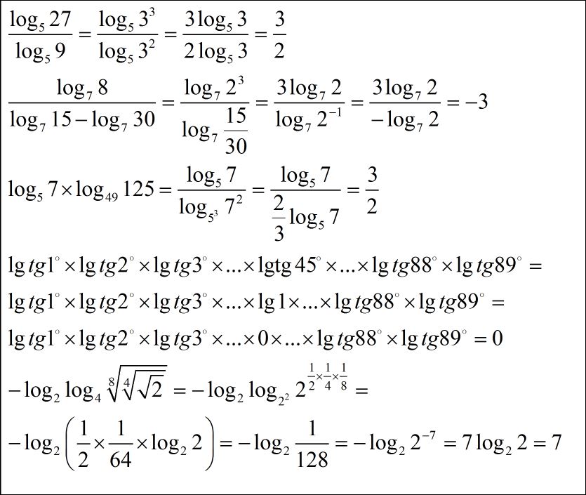
решение смотри во вложении.........................
Приложения:
Ответ дал: Linam1
0
спасибо
Ответ дал: Аноним
0
на здоровье
Вас заинтересует