Ответы
Ответ дал:
0
вроде так
1.sin 2a = 2 sin a cos a =2*3/5*4/5=0,96
sin a = 3/5 , cos^2 a = корень квадратный 1- (3/5)^2=4/5
1.sin 2a = 2 sin a cos a =2*3/5*4/5=0,96
sin a = 3/5 , cos^2 a = корень квадратный 1- (3/5)^2=4/5
Ответ дал:
0
спасибо
Ответ дал:
0
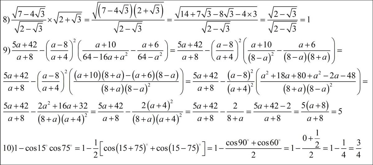
решение смотри во вложении......................
Приложения:


Ответ дал:
0
спасибо большое
Вас заинтересует
2 года назад
2 года назад
7 лет назад
7 лет назад
10 лет назад
10 лет назад
10 лет назад