Ответы
Ответ дал:
0
1 556,956 06 вроде.
Ответ дал:
0
а можно с решением и без калькулятора?
Ответ дал:
0
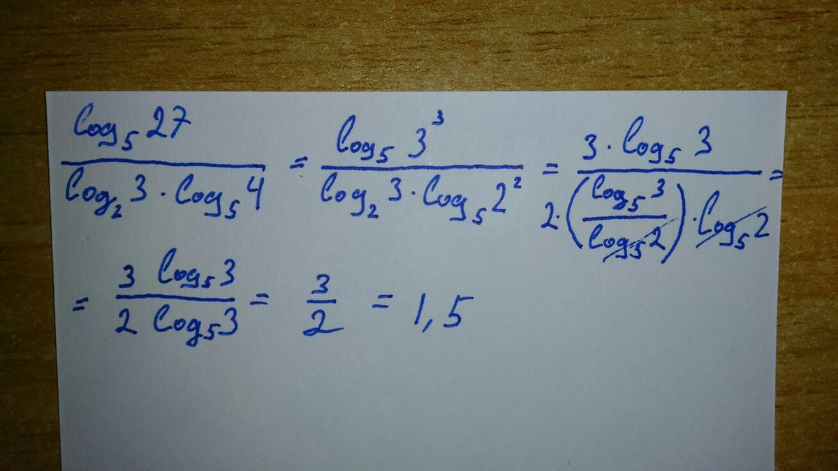
Решение во вложенном файле )
Пояснение:
1) Под логарифмом записываем числа 27 и 4 как 3 и 2 в соответствующих степенях, затем по свойству логарифма выносим степени в множитель перед логарифмом.
2) В логарифме log2_3 переходим к основанию 5, логарифмы сокращаются и остаются только вынесенные ранее множители
Пояснение:
1) Под логарифмом записываем числа 27 и 4 как 3 и 2 в соответствующих степенях, затем по свойству логарифма выносим степени в множитель перед логарифмом.
2) В логарифме log2_3 переходим к основанию 5, логарифмы сокращаются и остаются только вынесенные ранее множители
Приложения:

Вас заинтересует
2 года назад
2 года назад
7 лет назад
7 лет назад
10 лет назад
10 лет назад
10 лет назад