• Предмет: Алгебра
  • Автор: Kolbasohka
  • Вопрос задан 11 лет назад

Помогите решить уравнение, пожалуйста!

 

____     -   дробная черта 

 

 

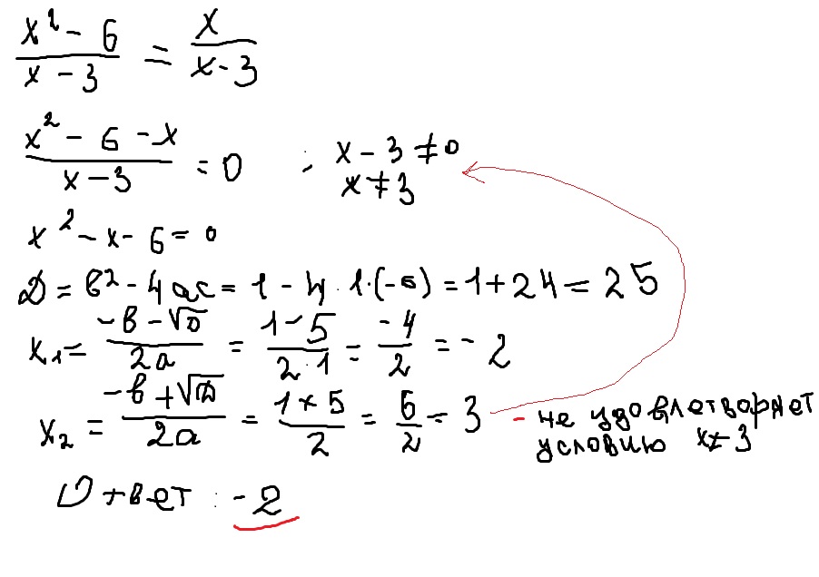
x²-6         x

---- =  ------

x-3         x-3

Ответы

Ответ дал: black111
0

держи

смотри во вложение :)

 

Приложения:
Вас заинтересует