Ответы
Ответ дал:
0
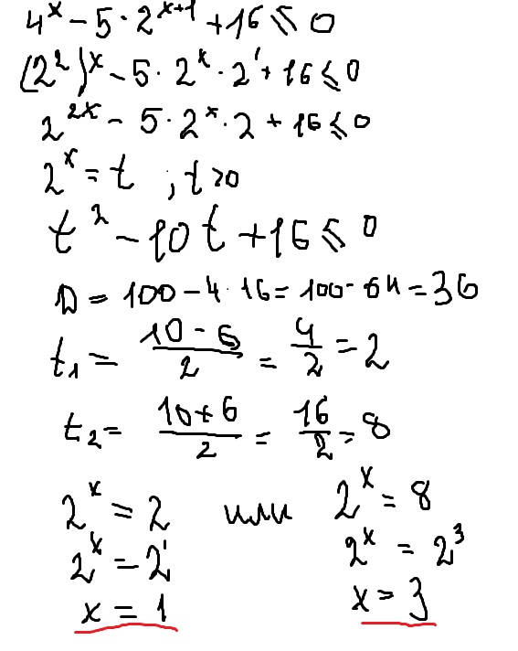
2^(2x)-5*2*2^x+16<=0
замена 2^x=t. t>0
t^2-10t+16<=0
t1=2 t2=8
T>=2 2^x>=2 x>=1 в пересечении с t<=8 2^x<=2^3 x<=3
имеем xe [1.3 ]
Ответ дал:
0
Держи
смотри во вложении :)
Приложения:

Вас заинтересует
2 года назад
8 лет назад
8 лет назад
10 лет назад
10 лет назад
10 лет назад
10 лет назад