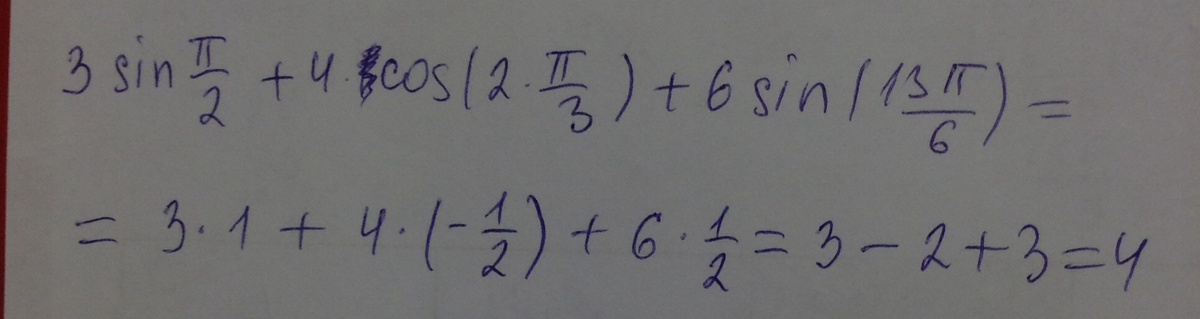
3 × sin(π / 2) + 4 × cos(2 × π / 3) + 6 × sin(13 × π / 6)
решите пожалуйста ответ должен получится 4
Ответы
Ответ дал:
0
3 × sin(π / 2) + 4 × cos(2 × π / 3) + 6 × sin(13 × π / 6)
Приложения:

Вас заинтересует
2 года назад
2 года назад
7 лет назад
10 лет назад
10 лет назад