• Предмет: Химия
  • Автор: zhmereke
  • Вопрос задан 11 лет назад

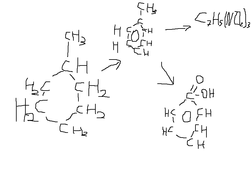
осуществите превращения,смотрим на рисунок:

Приложения:

Ответы

Ответ дал: Жюлька
0

решение смотри во вложении... если что-то непонятно пиши в личку

Приложения:
Вас заинтересует