• Предмет: Алгебра
  • Автор: gimnasto4kaaa
  • Вопрос задан 10 лет назад

Очень надо, помогите пожалуйста

Приложения:

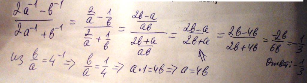
Ответы

Ответ дал: infor5
0
решение в файле......
Приложения:
Ответ дал: gimnasto4kaaa
0
спасмбо
Вас заинтересует