Ответы
Ответ дал:
0
3x-3x-1/3=6-5x/2
-1/3=6-5x/2
18-15x=-2
-15x=-20
x=20/15
x=одна целая 1/3
-1/3=6-5x/2
18-15x=-2
-15x=-20
x=20/15
x=одна целая 1/3
Ответ дал:
0
я изменил .
Ответ дал:
0
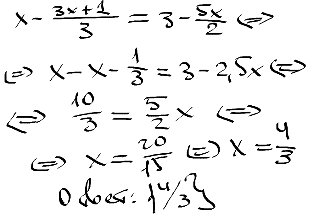
Решение прикрепила.
Ответ: {4/3}
Ответ: {4/3}
Приложения:

Вас заинтересует
2 года назад
2 года назад
7 лет назад
10 лет назад
10 лет назад
10 лет назад