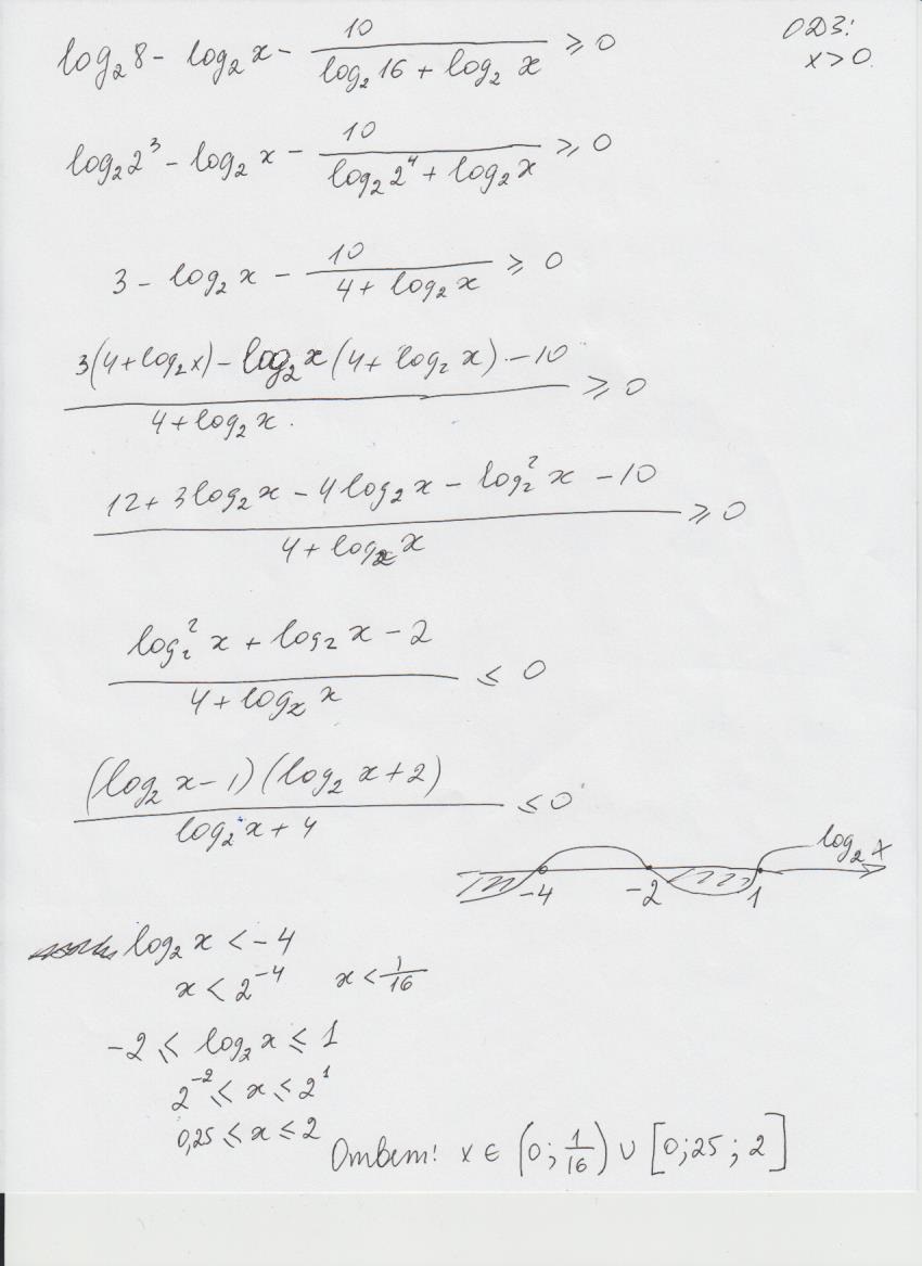
Логарифмическое неравенство. Log2(8/x)-10/log2(16x)>=0. Более подробно во вложении. Желательно с объяснениями.
Приложения:

Ответы
Ответ дал:
0
решение в приложении:
Приложения:

Вас заинтересует
2 года назад
2 года назад
7 лет назад
7 лет назад
10 лет назад
10 лет назад
10 лет назад
10 лет назад