• Предмет: Алгебра
  • Автор: Полегримм
  • Вопрос задан 11 лет назад

Помогите пожалуйста с заданиями:

1) хfrac{x}{2}-frac{x}{4}=5

   frac{1-3y}{11}-frac{3-y}{5}=0

2)(2x^{2}+x-1)(2x^{2}+x-4)+2=0

   (x^{2}+x-1)(x^{2}+x+2)=40

3)frac{1}{x+5}-frac{1}{x+9}=frac{1}{x+5}-frac{1}{x}

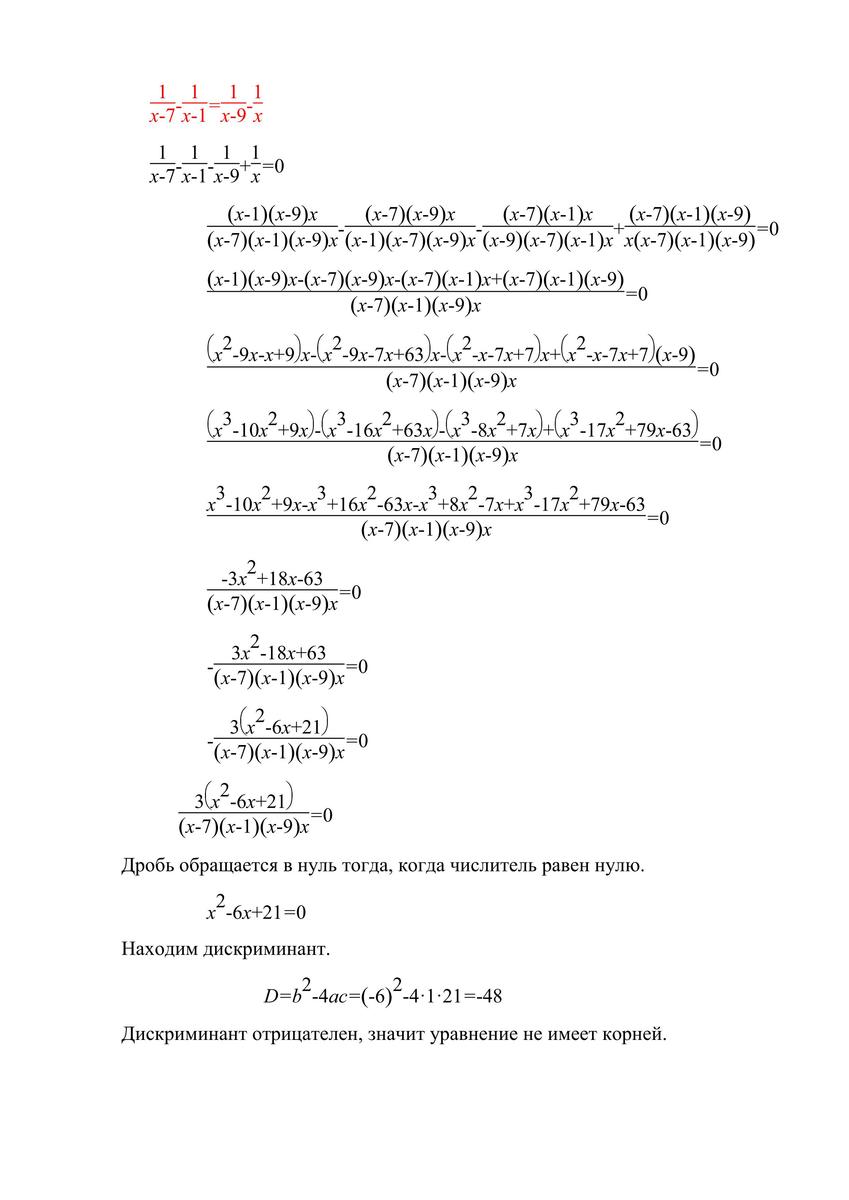
   frac{1}{x-7}-frac{1}{x-1}=frac{1}{x-9}-frac{1}{x}

4)2x^{2}+8x-111<(3x-5)(2x+6)

   3x^{2}+40x+10<-x^{2}-11x+3

5)frac{2x-3}{1-x}leq0

   frac{6-x}{x-5}leq0

Ответы

Ответ дал: triolana
0

=================================================

Приложения:
Вас заинтересует