ПОМОГИТЕ ПОЖАЛУЙСТА С ЗАДАЧЕЙ. УМОЛЯЮ!!! Решите пожалуйста, С РИСУНКОМ . Сама пробовала, не получилось((( УМОЛЯЮ ПОМОГИТЕ!!!:**
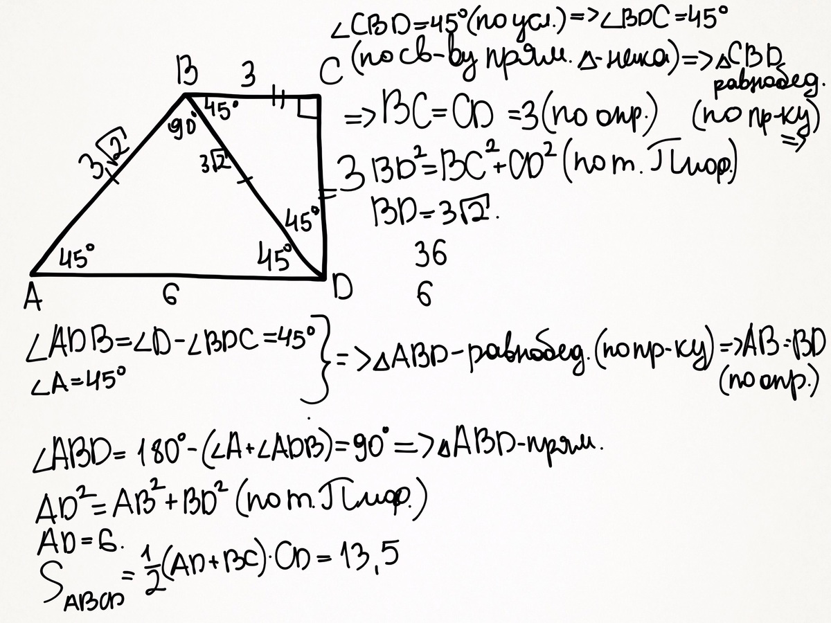
В прямоугольной трапеции меньшая боковая сторона равна 3 дм и составляет с меньшей диагональю угол 45 градусов .Острый угол трапеции равен также 45
градусов.Найдите площадь трапеции. ВЫ МОЯ ПОСЛЕДНЯЯ НАДЕЖДА!!:((
Ответы
Ответ дал:
0
Вроде все правильно, проверь на всякий случай
Приложения:

Ответ дал:
0
Спасибо тебе) Проверю:)
Вас заинтересует
2 года назад
2 года назад
7 лет назад
7 лет назад
10 лет назад
10 лет назад
10 лет назад