Решить уравнение ( решение можно нарисовать в point и добавить во вложение, это если что)))))))
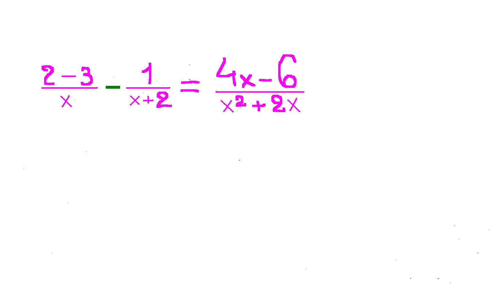
2x - 3 1 4x-6
_______ - ______ = _________
x x+2 x ² + 2x
Приложения:

Ответы
Ответ дал:
0
Раскладываем знаменатель третьей дроби на х*(х+2). Приводим к общему знаменателю х*(х+2):
((2х-3)*(х+2) - х - 4х+6)/(х*(х+2))
Знаменатель можно отбросить.
2х^2 + х - 6 - 5х + 6=0
2х^2 - 4x = 0
Делим на 2.
x^2 - 2x = 0
x*(x-2) = 0
x1=0, x2=2
Ответ дал:
0
Вас заинтересует
2 года назад
2 года назад
8 лет назад
10 лет назад
10 лет назад