• Предмет: Алгебра
  • Автор: gavruchsha
  • Вопрос задан 10 лет назад

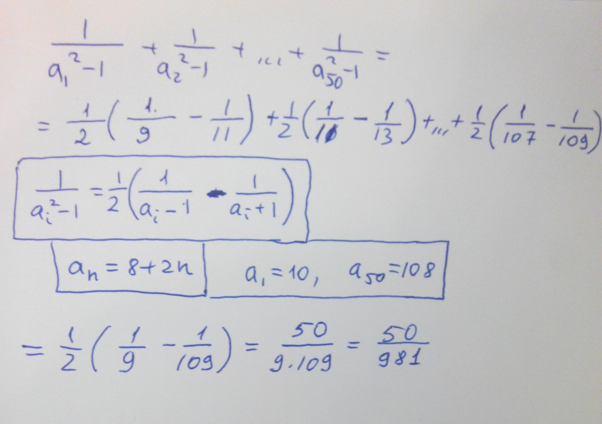
(an)-арифм. прогр.,a1=10,d=2.найти:
1/(a1^2-1)+1/(a2^2+1)+1/(a3^2-1)+...+1/(a5o^2-1)
Не вижу принципа ряда

Ответы

Ответ дал: Denik777
0
У меня так получилось:
Приложения:
Ответ дал: Denik777
0
Ну я сделал, в предположении, что он опечатался во втором слагаемом.
Ответ дал: Матов
0
пусть автор ответит , потом добавлю решение
Ответ дал: Denik777
0
Если бы знаки чередовались то в последнем должен быть плюс.
Ответ дал: Матов
0
возможно , но хотелось бы точное условие , может он ошибся
Ответ дал: gavruchsha
0
Если везде минусы, то я понимаю решение. Спасибо.
Вас заинтересует