Ответы
Ответ дал:
0
1)3 1/2-2 3/8=3 4/8-2 3/8=1 1/8
2)4 1/3-1 5/6=4 2/6-1 5/5=3 8/6-1 5/6=2 3/6
3)1 1/8•1 1/3=9/8•4/3=6/4=1 1/2
4)1 1/2•2 3/6=3/2•15/6=15/4=3 3/4
5)5 17/20+3 3/4=5 17/20+3 15/20=8 42/20=2 1/2=2,5
2)4 1/3-1 5/6=4 2/6-1 5/5=3 8/6-1 5/6=2 3/6
3)1 1/8•1 1/3=9/8•4/3=6/4=1 1/2
4)1 1/2•2 3/6=3/2•15/6=15/4=3 3/4
5)5 17/20+3 3/4=5 17/20+3 15/20=8 42/20=2 1/2=2,5
Ответ дал:
0
а где 6 действие?
Ответ дал:
0
ТЫ НАПИСАЛ 5 ИВ КОМЕНТАХ 1
Ответ дал:
0
я в 5 ответ неправильно написала. нужно 10 1/2
Ответ дал:
0
АА СПАСИБО!))
Ответ дал:
0
удачи!
Ответ дал:
0
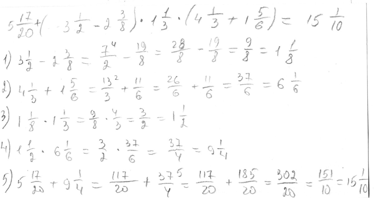
смотри решение во вложении
Приложения:
Вас заинтересует
8 лет назад
8 лет назад
10 лет назад
10 лет назад