Ответы
Ответ дал:
0
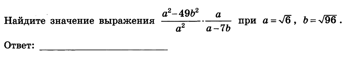
решение смотри на фотографии
Приложения:

Ответ дал:
0
а подскажи пожалуйста, как складывать дроби с простыми числами :D
Ответ дал:
0
не дроби, а корни*
Вас заинтересует
2 года назад
2 года назад
7 лет назад
7 лет назад
10 лет назад
10 лет назад
10 лет назад
10 лет назад