• Предмет: Алгебра
  • Автор: Аноним
  • Вопрос задан 10 лет назад

Найдите производную функции :номер 746 747 (в) (г)

Приложения:

Ответы

Ответ дал: Аноним
0
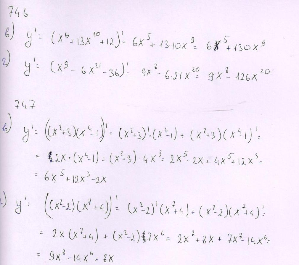
y=x^6+x^1^0+12 \ y'=(x^6+x^1^0+12)'=6x^5+10x^9

y=x^9-6x^2^1-36 \ y'=(x^9-6x^2^1-36)'=9x^8-126x^2^0

y=(x^2+3)(x^4-1) \ y'= (x^2+3)'cdot (x^4-1)+(x^2+3)(x^4-1)'= \ =2x(x^4-1)+(x^2+3)4x^3=2x^5-2x+4x^5+12x^3=6x^5+12x^3-2x

y'=(x^2-2)'(x^7+4)+(x^2-2)(x^7+4)'= \ =2x(x^7+4)+(x^2-2)7x^6=2x^8+8x+7x^8-14x^6=9x^8-14x^6+8x
Ответ дал: ewgenijbark
0
см. вложенный файл
\\\\\\\\\\\\\\\
Приложения:
Вас заинтересует