Ответы
Ответ дал:
0
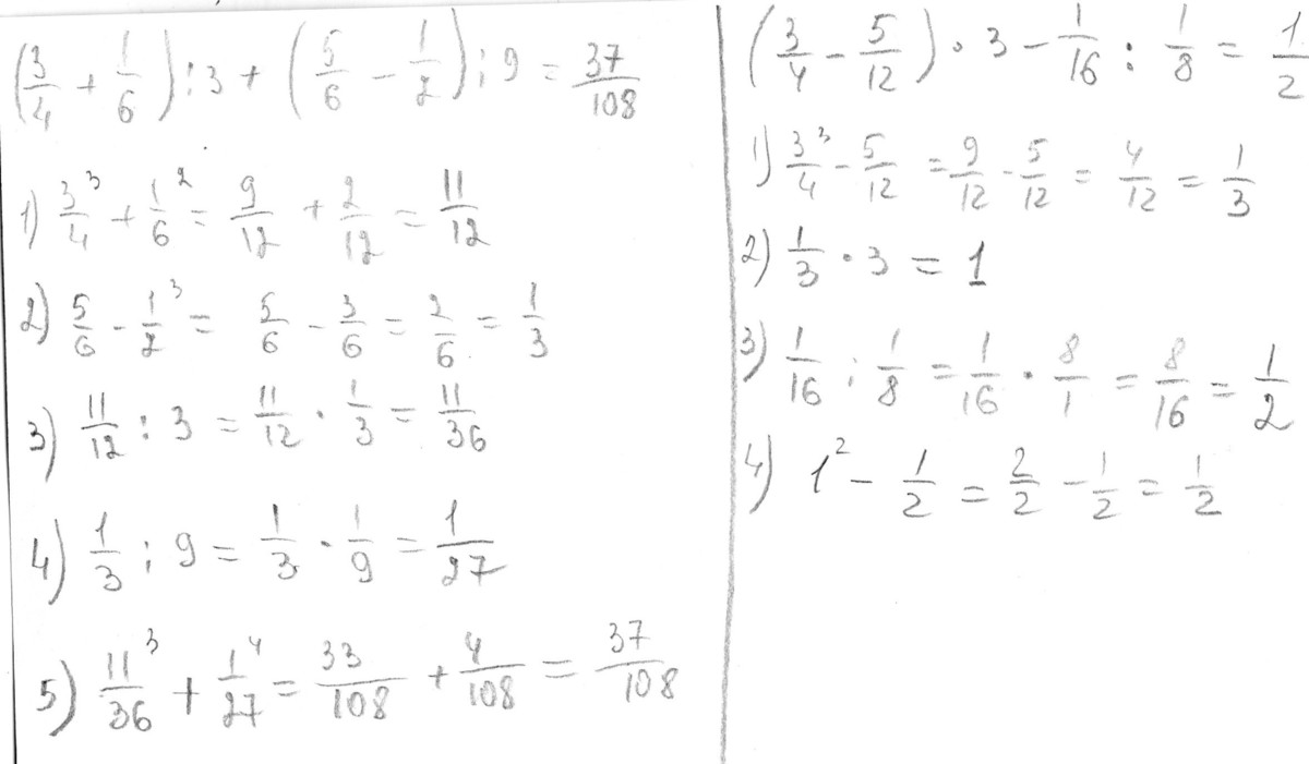
а)
3/4+1/6=9/12+2/12=11/12
5/6-1/2=5/6-3/6=2/6=1/3
11/12:3=11/12*1/3=11/36
1/3:9=1/3*1/9=1/27
11/36+1/27=33/108+4/108=37/108
б)
1)3/4-5/12=9/12-5/12=4/12=1/3
2)1/3*3=1
3)1/16:1/8=1/16*8=1/2
4)1-1/2=1/2
3/4+1/6=9/12+2/12=11/12
5/6-1/2=5/6-3/6=2/6=1/3
11/12:3=11/12*1/3=11/36
1/3:9=1/3*1/9=1/27
11/36+1/27=33/108+4/108=37/108
б)
1)3/4-5/12=9/12-5/12=4/12=1/3
2)1/3*3=1
3)1/16:1/8=1/16*8=1/2
4)1-1/2=1/2
Ответ дал:
0
спс
Ответ дал:
0
пжл
Ответ дал:
0
смотри решение во вложении
Приложения:

Ответ дал:
0
саписо
Ответ дал:
0
всё понятно
Ответ дал:
0
Спасибо
Вас заинтересует
2 года назад
2 года назад
7 лет назад
10 лет назад
10 лет назад
10 лет назад