• Предмет: Химия
  • Автор: Насмноговместемысила
  • Вопрос задан 10 лет назад

Na2SO4+AGNO3=NaNO3+AG2SO4
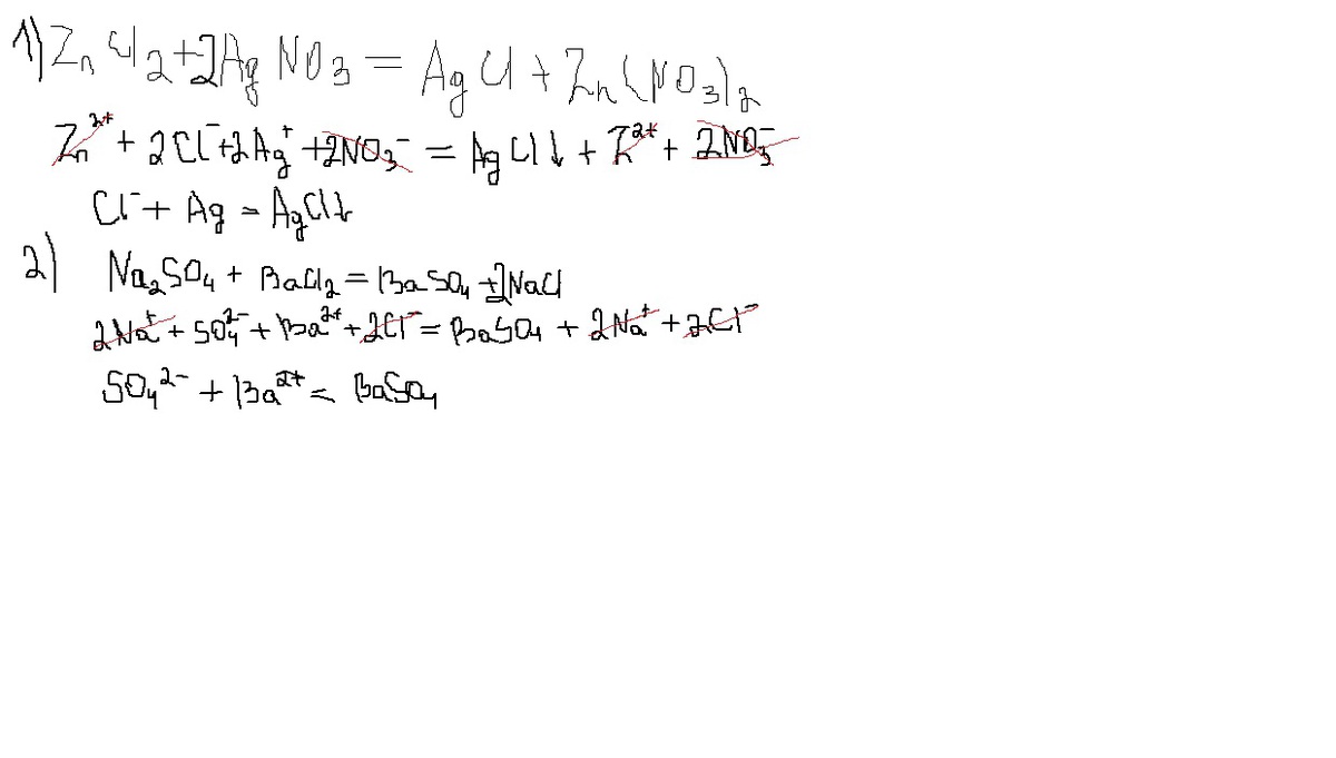
ZnCl2+AgNO3=AgCl+Zn(NO3)2
Na2SO4+BaCl2=BaSo4+NaCl
Уравнения полные ионные и сокращённо ионные пожалуйста.

Ответы

Ответ дал: Ichapanova
0
Уравнения полные ионные и сокращённо ионные 
Приложения:
Вас заинтересует