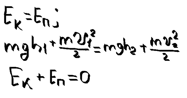
Дайте математическую формулировку закона сохранения механической энергии (т .е. запишите его в виде уравнений).
Ответы
                                            Ответ дал: 
                                                                                    
                                        
                                            
                                                
                                                
                                                
                                                    0
                                                
                                            
                                        
                                    Все 3 формулы отражают формулировку закона 1 и 3 одно и тоже(сокращенная), а 2 развернутая
Приложения:
                    
                            Вас заинтересует
                
                        2 года назад
                    
                
                        8 лет назад
                    
                
                        10 лет назад
                    
                
                        10 лет назад
                    
                
                        10 лет назад