Запишите обыкновенную дробь в виде десятичной и выполните вычитание:
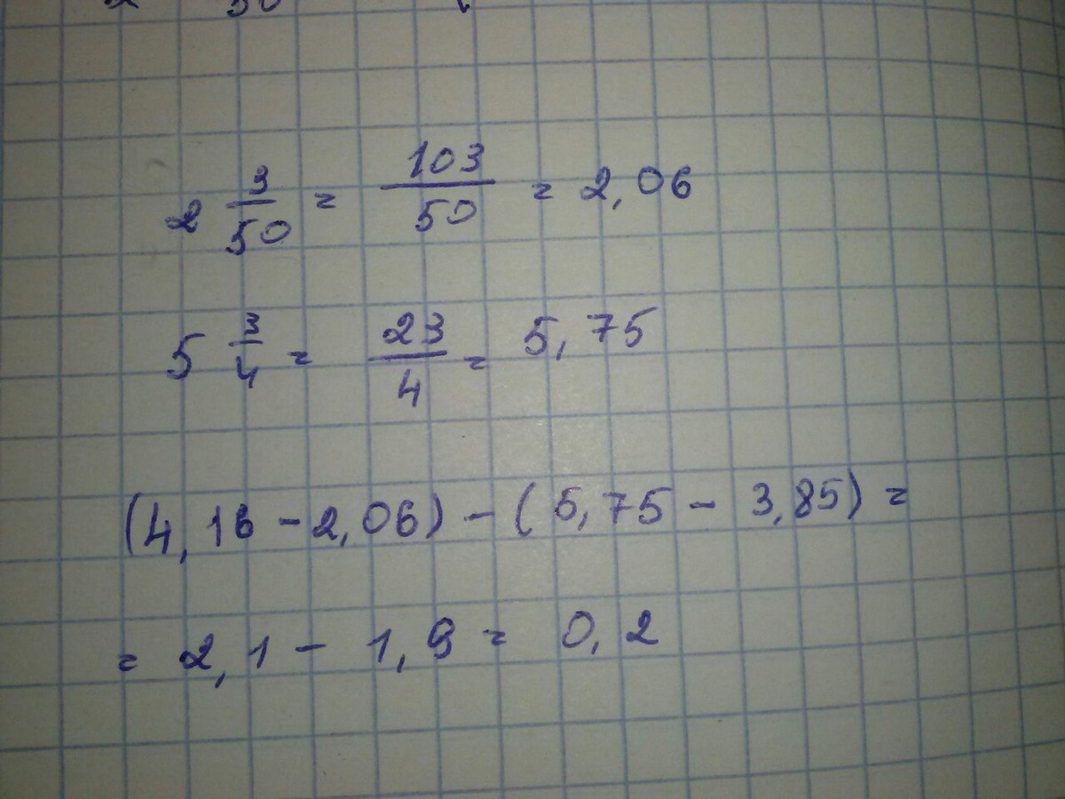
(4,16 - 2 целых 3/50 )-(5 целых 3/4 -3,85) ????
Ответы
Ответ дал:
0
(6,8-4целых13/20)-(3целых17/50-2,64)=(6.8-4.65)-(3.34-2.64)=2.15-0.7=1.45
(7,85-1целая3/20)-(5целых9/25-2,16)=(7.85-1.15)-(5.36-2.16)=6.7-3.2=3.5
(7,85-1целая3/20)-(5целых9/25-2,16)=(7.85-1.15)-(5.36-2.16)=6.7-3.2=3.5
Ответ дал:
0
чтобы перевести обыкновенную дробь в десятичную нужно(рассмотрим на примере 2 целых 3/50):
1) перевести дробь в неправильную, то есть 2*50 и прибавить 3. Получим 103/50
2) Числитель делим на знаменатель , то есть 103 делим на 50=2 целых 06
1) перевести дробь в неправильную, то есть 2*50 и прибавить 3. Получим 103/50
2) Числитель делим на знаменатель , то есть 103 делим на 50=2 целых 06
Приложения:
Вас заинтересует
3 года назад
3 года назад
8 лет назад
8 лет назад
10 лет назад
10 лет назад
11 лет назад
11 лет назад