50 баллов (помогите ДОрешать)
17. ДЛЯ РАЗБИРАЮЩИХСЯ.
Дошла до момента с модулем. Раскрывается со знаком '-',т.к. Левая часть должна быть меньше чем какое-то отрицательное выражение,а в ней модуль(положит.) и подмогу льготе выражение(такое же), след. Оно отрицт
Приложения:
Ответы
Ответ дал:
0
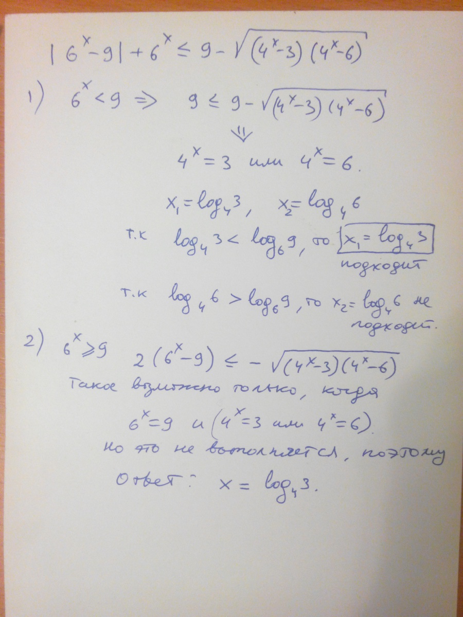
Прицепил решение в картинке.
Приложения:
Ответ дал:
0
81-4*18=0
Ответ дал:
0
т.е. 9
Ответ дал:
0
81-4*18=9
Ответ дал:
0
а ещё не подскажите как вы высчитываете 'некрасивые' логарифмы, чтобы сравнить их?
Ответ дал:
0
если честно, то я их по-быстрому на калькуляторе. А так вообще можно привести все логарифмы к одному основанию, например взять натуральные логарифмы. Тогда сводится к сравнению скажем
ln(3)/ln(4) и ln(9)/ln(6) можно вычесть одно из другого, упростить логарифмы, скажем ln(4)=2ln(2) и там видно, что выражение отрицательно.
ln(3)/ln(4) и ln(9)/ln(6) можно вычесть одно из другого, упростить логарифмы, скажем ln(4)=2ln(2) и там видно, что выражение отрицательно.
Вас заинтересует
2 года назад
8 лет назад
8 лет назад
11 лет назад