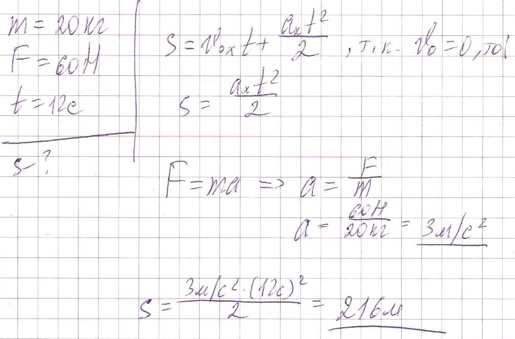
Прошу решить правильно и качественно! К неподвижному телу массой 29 кг. приложили постоянную силу 60Н, какой путь пройдёт это тело за 12 секунд?
Ответы
Ответ дал:
0
надеюсь будет понятно...
Приложения:

Вас заинтересует
2 года назад
8 лет назад
10 лет назад
10 лет назад