• Предмет: Геометрия
  • Автор: тёма156
  • Вопрос задан 11 лет назад

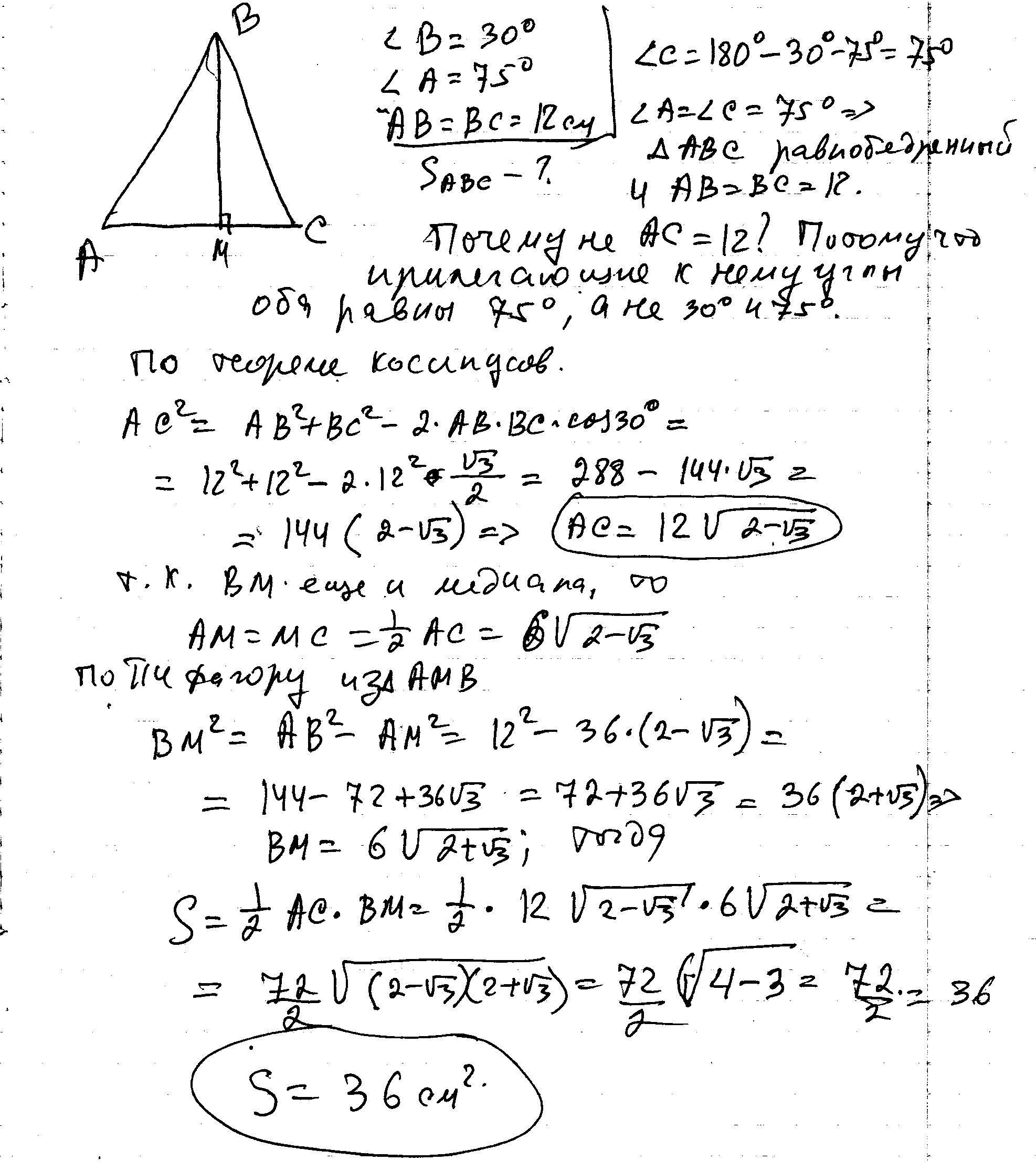
найдите площадь треугольника,одна из сторон которого равна 12см,а прилежащие к ней углы 30 и 75

Ответы

Ответ дал: ужнеужели
0
решение в скане...................
Приложения:
Вас заинтересует