Помогите решить квадратные уравнения.
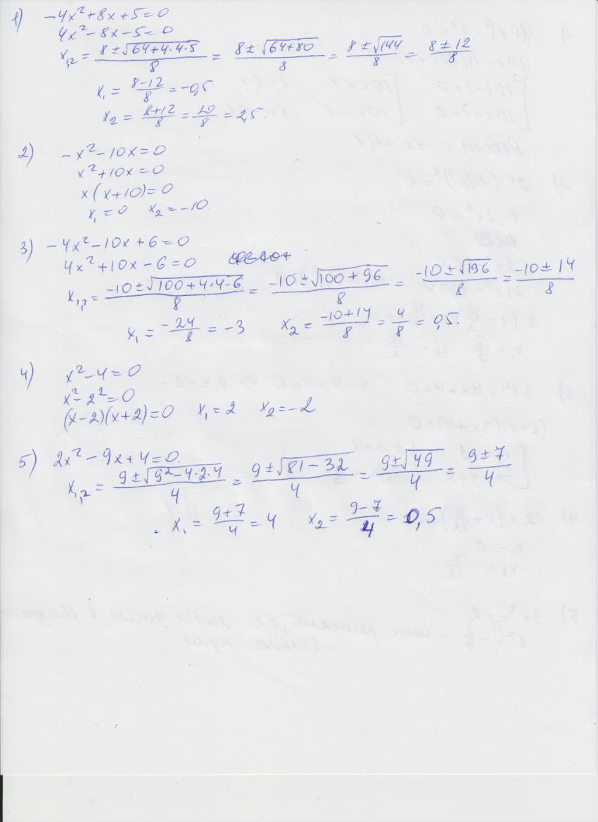
-4х(в квадрате)+8х+5=0
-х(в квадрате)-10х=0
-4х(в квадрате)-10х+6=0
х(квадрат)-4=0
2х(квадрат)-9х+4=0
Ответы
Ответ дал:
0
решение в приложении:
Приложения:
Ответ дал:
0
4х^2-8х-5=0
через дискременант
Д=b^2-4×a×c=(-8)^2-4×4×(-5)=64+80=144 два корня
х1=(8- 12)/(2×4)=-4÷8=-0,5
х2=(8+12)/(2×4)=20÷8=2,5
через дискременант
Д=b^2-4×a×c=(-8)^2-4×4×(-5)=64+80=144 два корня
х1=(8- 12)/(2×4)=-4÷8=-0,5
х2=(8+12)/(2×4)=20÷8=2,5
Приложения:
Вас заинтересует
3 года назад
3 года назад
8 лет назад
8 лет назад
10 лет назад
10 лет назад