• Предмет: Алгебра
  • Автор: СерегаВыжимает
  • Вопрос задан 10 лет назад

решите пожалуйста! буду очень благодарен
!!!!!!!!!!!!!!!!!

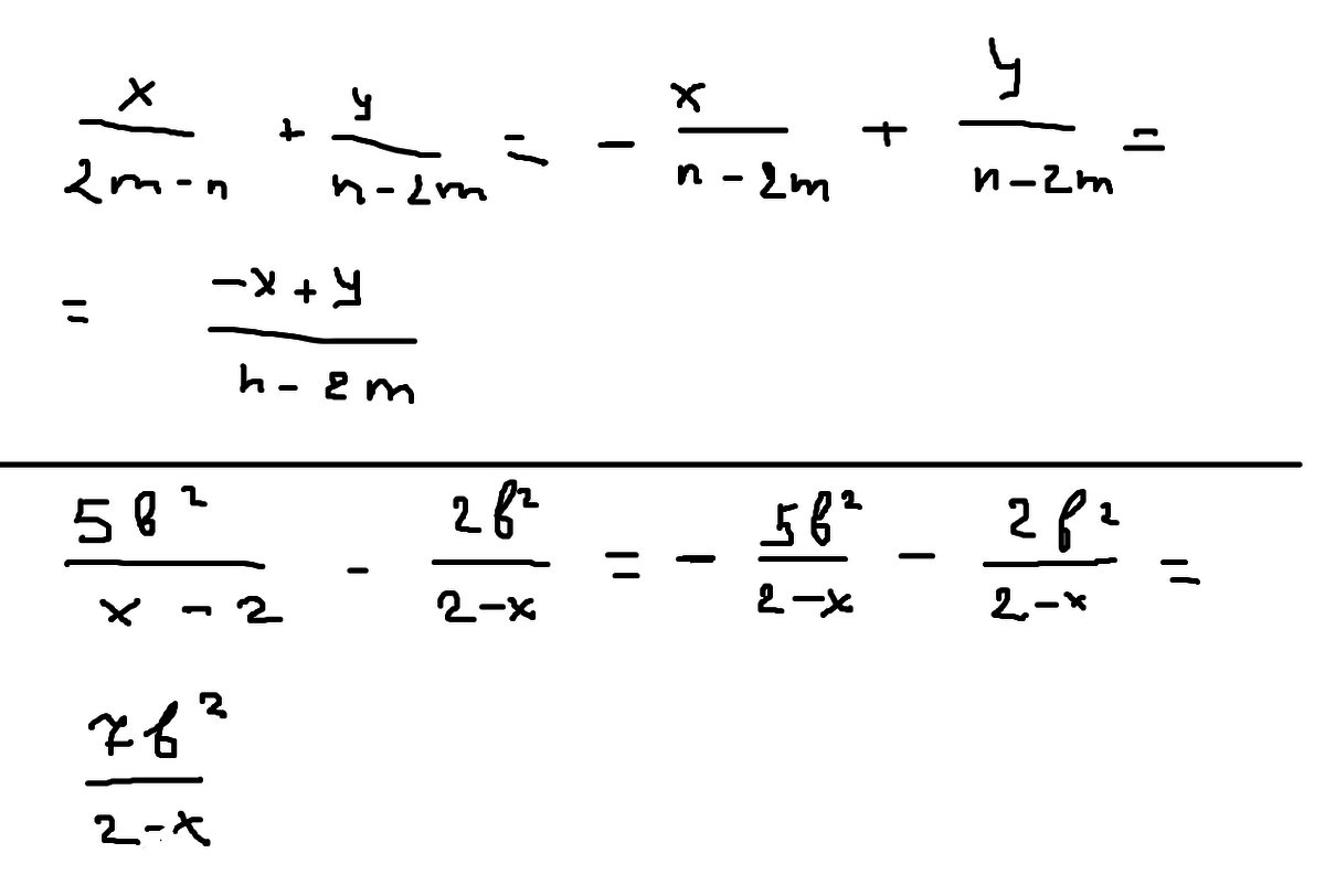
Приложения:

Ответы

Ответ дал: Sovik15
0
Вроде так, но еще сам проверь, я в математике не сильна :D
Приложения:
Ответ дал: СерегаВыжимает
0
Спасибо 8-)
Вас заинтересует