• Предмет: Алгебра
  • Автор: Serezhagolubev
  • Вопрос задан 10 лет назад

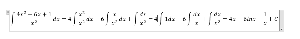
S 1-6x+4x^2/x^2 dx
помогите пожалуйста

Приложения:

Ответы

Ответ дал: ShirokovP
0
Решение внутри
-------------------------
Приложения:
Ответ дал: Serezhagolubev
0
Спасибо
Ответ дал: ShirokovP
0
сделай лучшим))
Вас заинтересует