• Предмет: Алгебра
  • Автор: sasha3434
  • Вопрос задан 11 лет назад

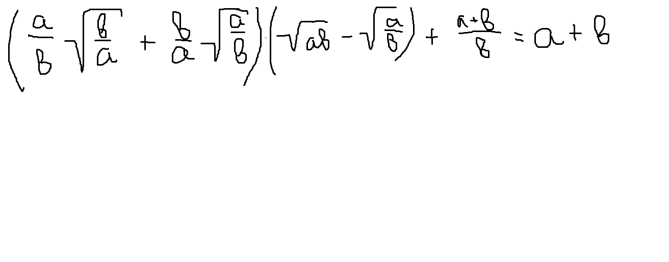
помогите пожалуйста,или хотя бы объясните как делать

Приложения:

Ответы

Ответ дал: anmih
0

Смотри вложение, смотри вложение, смотри вложение:

Раскрываем скобки, считаем, сокращаем, приводим подобные и т.д.

Убеждаемся , что упрощая левую часть, получаем правую:

Приложения:
Вас заинтересует