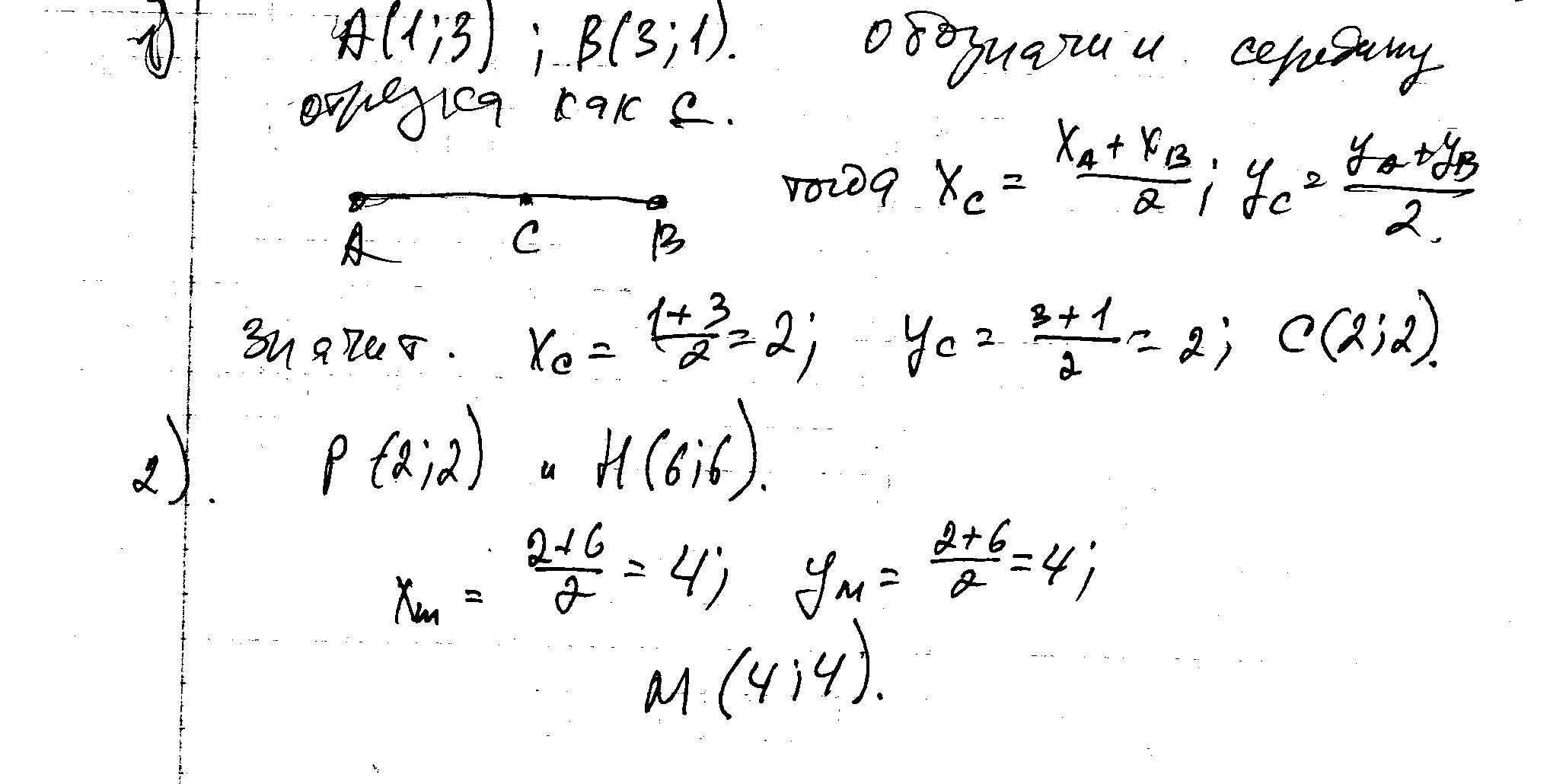
1)найдите координаты середины отрезка с концами А(1;3) , В(3,1)
2)Даны точки Р(2;2) и Н(6;6).Найдите координаты точки М,делящей отрезок РН пополам
Ответы
Ответ дал:
0
решение в скане..................
Приложения:

Вас заинтересует
2 года назад
2 года назад
8 лет назад
8 лет назад
10 лет назад
10 лет назад