• Предмет: Геометрия
  • Автор: lelik1200m1985
  • Вопрос задан 10 лет назад

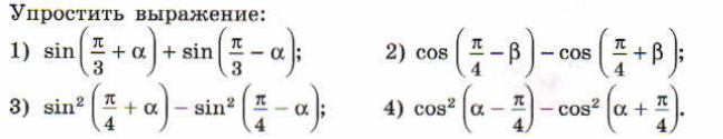
№1
2,4. распишите подробно
_____________________________________

Приложения:

Ответы

Ответ дал: Аноним
0
............................... . ..
Приложения:
Ответ дал: Аноним
0
видно?
Ответ дал: lelik1200m1985
0
да ,только чу-чуть непонятно в конце - будет непонятно спрошу
Ответ дал: Аноним
0
ок)
Ответ дал: lelik1200m1985
0
можешь другие примеры решить я скинул,
Ответ дал: lelik1200m1985
0
??
Вас заинтересует