Ответы
Ответ дал:
0
Найти корни уравнения
Приложения:
Ответ дал:
0
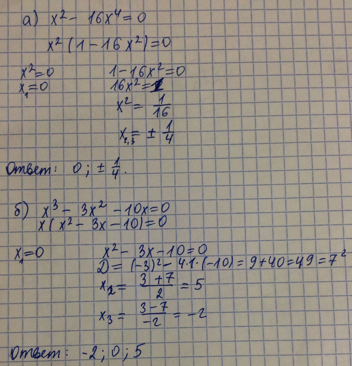
а) х^2 (1-16х^2)=0
х^2=0
х=0
1-16х^2=0
-16х^2=-1
х^2=-1/-16=1/16
х=1/4
б) х (х^2-3х-10)=0
х=0
х^2-3х-10=0
Д = -3^2 -4×1×(-10)=9+40=49=7^2
х1=( 3-7)/2=-4/2=-2
х2=( 3+7)/2=10/2=5
х^2=0
х=0
1-16х^2=0
-16х^2=-1
х^2=-1/-16=1/16
х=1/4
б) х (х^2-3х-10)=0
х=0
х^2-3х-10=0
Д = -3^2 -4×1×(-10)=9+40=49=7^2
х1=( 3-7)/2=-4/2=-2
х2=( 3+7)/2=10/2=5
Приложения:
Вас заинтересует
3 года назад
8 лет назад
10 лет назад
10 лет назад
11 лет назад