Ответы
Ответ дал:
0
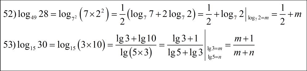
решение смотри во вложении...............................
Приложения:

Ответ дал:
0
почему логарифм10=1
Ответ дал:
0
потому, что lg10 - это логарифм 10 по основанию 10
Вас заинтересует
2 года назад
7 лет назад
7 лет назад
10 лет назад
10 лет назад
10 лет назад