• Предмет: Геометрия
  • Автор: Ирмакс
  • Вопрос задан 11 лет назад

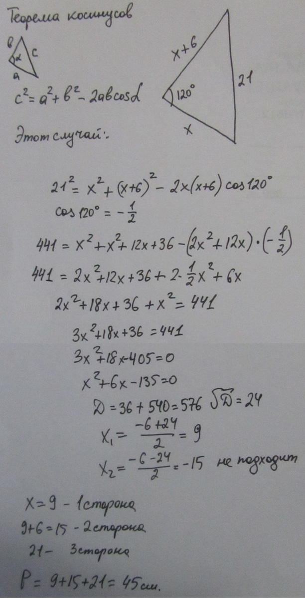
Одна сторона треугольника на 6 см больше другой , а угол между ними  120 градусов.

Найдите периметр треугольника , если длина третей стороны 21см.

Ответы

Ответ дал: fou
0

1111111111111111111111111111111111

Приложения:
Вас заинтересует
11 лет назад