довжина першого відрізка 15 см,другий відрізок на 5 см коротший від першого,а третій-на 6 см коротший від другого.Накресли ці відрізки?
Ответы
Ответ дал:
0
Надеюсь, все ясно.
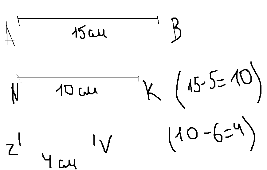
1) 15 см
2) 15-5 = 10 см
3) 10-6=4 см
Осталось только красиво под линеечку в тетрадку начертить)
Удачи :)
P.S в файле наглядное решение
1) 15 см
2) 15-5 = 10 см
3) 10-6=4 см
Осталось только красиво под линеечку в тетрадку начертить)
Удачи :)
P.S в файле наглядное решение
Приложения:

Вас заинтересует
2 года назад
2 года назад
10 лет назад
10 лет назад
10 лет назад
10 лет назад