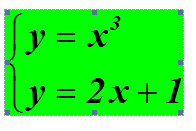
1. Используя приложение MS EXCEL, решите графическим способом следующую систему уравнений:
2. Ось ординат должна пересекать ось абсцисс в точке 0. Значение абсциссы решения определите с точностью 0.005.
Приложения:

Ответы
Ответ дал:
0
Ответ дал:
0
а откуда вы знаете, что -1,065 нужно ввести в ячейку B3?
Ответ дал:
0
Через сервис/подбор параметра/ чтобы разность между C3-D3=0, затем сдвиг на середину диапазона, чтобы картинка была красива.
Вас заинтересует
2 года назад
7 лет назад
10 лет назад
10 лет назад
10 лет назад
10 лет назад