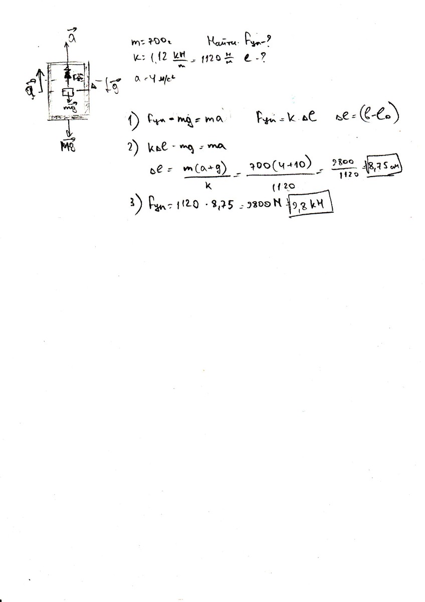
Лифт поднимается вверх с ускорением 4м/c2. В лифте на пружине жесткостью 1,12кН/м висит груз массой 700г. Какова сила упругости пружины? На сколько см изменилась длина пружины?
Ответы
Ответ дал:
0
Как то так. Я учео то что лифт не имеет массы (по идее у него тоже есть масса но здесь она не нужна, на картинке все видно)
Приложения:

Вас заинтересует
2 года назад
2 года назад
8 лет назад
10 лет назад
10 лет назад
10 лет назад