Ответы
Ответ дал:
0
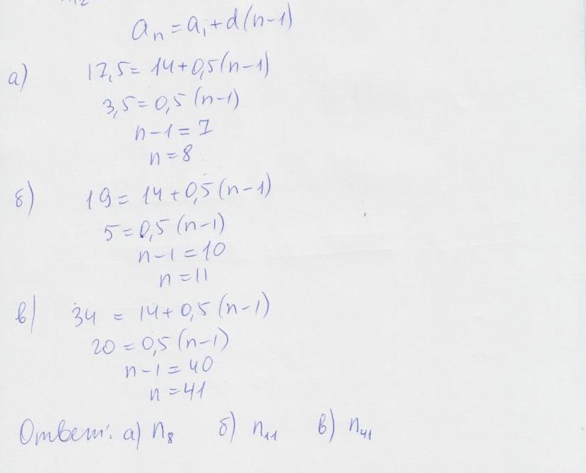
член прогрессии с номером находится по формуле Xк=14+(к-1)/2, поэтому а)х8=14+7/2=17,5 б)х11=14+10/2=19 в)х21=14+20/2=34
Ответ дал:
0
решение в приложении:
Приложения:

Вас заинтересует
2 года назад
7 лет назад
7 лет назад
10 лет назад
10 лет назад