Ответы
Ответ дал:
0
Решение в прикрепленном файле. Удачи)
Приложения:

Ответ дал:
0
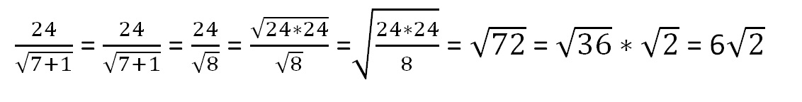
случайно первое выражение 2 раза написал
Вас заинтересует
2 года назад
2 года назад
7 лет назад
7 лет назад
10 лет назад
10 лет назад