• Предмет: Алгебра
  • Автор: Tatyanka25
  • Вопрос задан 11 лет назад

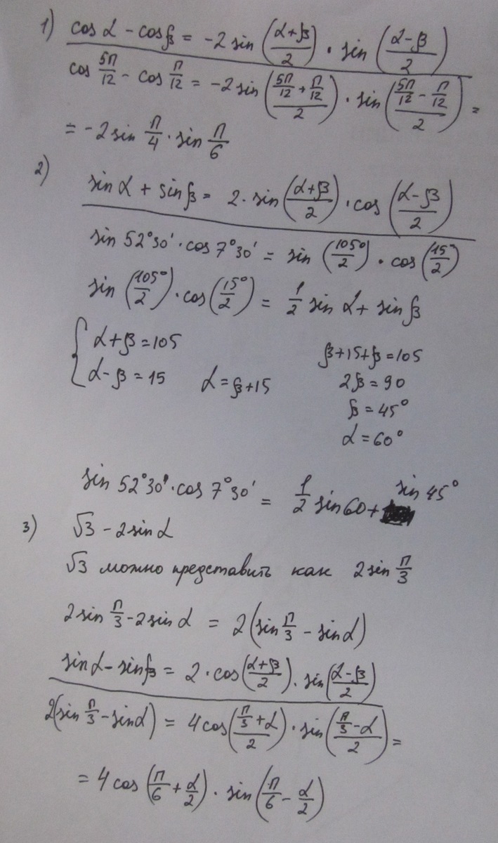
Помогите пожалуйста с тригонометрией №2 Преобразовать разность косинусов в произведение. №3Преобразовать произведение в сумму. №4Преобразовать произведение.

Приложения:

Ответы

Ответ дал: fou
0

ну в принципе можно так - см картинку

 

подчеркнуты тригонометрические формулы, как образец

Приложения:
Вас заинтересует