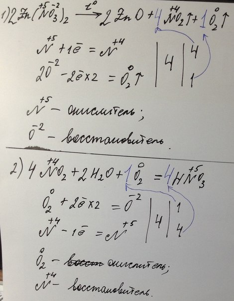
1) Zn(NO3)2 = NO2
2) NO2 = HNO3
Решите методом Электронного Баланса . Очень надо . Награда 50 баллов .
Ответы
Ответ дал:
0
Решение в прикрепленном файле. Удачи)
Приложения:

Вас заинтересует
2 года назад
2 года назад
7 лет назад
10 лет назад
10 лет назад