Ответы
Ответ дал:
0
исходные не пишу
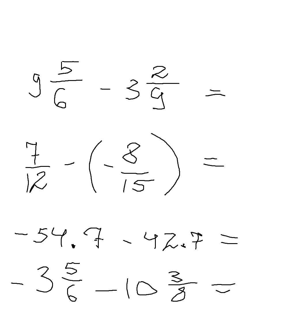
9 15/18-3 4/18=6 11/18
7/12+8/15=35/60+32/60=67/60=1 7/60
-54,7-42,4=-97,4
-3 20/24-10 9/24=-13 29/24=-14 5/24
9 15/18-3 4/18=6 11/18
7/12+8/15=35/60+32/60=67/60=1 7/60
-54,7-42,4=-97,4
-3 20/24-10 9/24=-13 29/24=-14 5/24
Ответ дал:
0
Решение во вложении:
7/12-(-8/15)=
Два минуса даёт плюс следовательно нам нужно:(См.вложение)
-54,7-42,7=-97,4
-3 20/24-10 9/24=-13 29/24=-14 5/24
Отметьте лучшим решение:)
7/12-(-8/15)=
Два минуса даёт плюс следовательно нам нужно:(См.вложение)
-54,7-42,7=-97,4
-3 20/24-10 9/24=-13 29/24=-14 5/24
Отметьте лучшим решение:)
Приложения:
Ответ дал:
0
спс помогло очент))
Ответ дал:
0
очень*)
Вас заинтересует
2 года назад
8 лет назад
10 лет назад
10 лет назад
11 лет назад