• Предмет: Математика
  • Автор: ja7728
  • Вопрос задан 10 лет назад

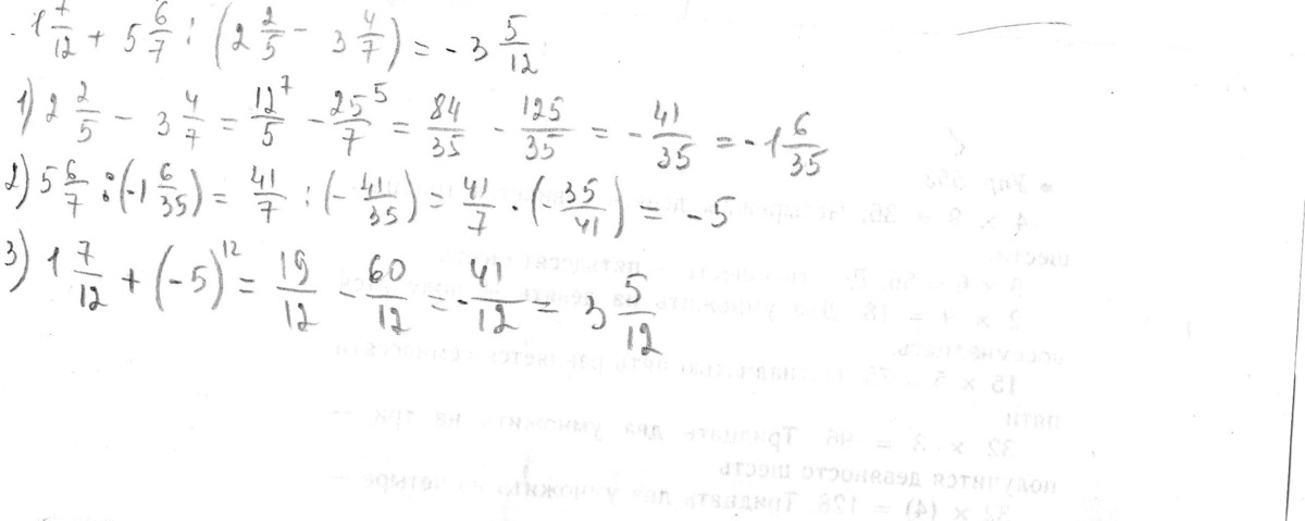
1.7/12+5.6/7:(2.2/5-3.4/7)

Ответы

Ответ дал: anikor888
0
1)  12/5-25/7=(84-125)/35=-41/35
2)  41/7*(-35/41)=-5
3)  19/2-5=(19-60)/12=-41/12
Ответ дал: ja7728
0
Спасибо огромное
Ответ дал: Nastya171167
0
смотри решение во вложении
Приложения:
Вас заинтересует